User Tools


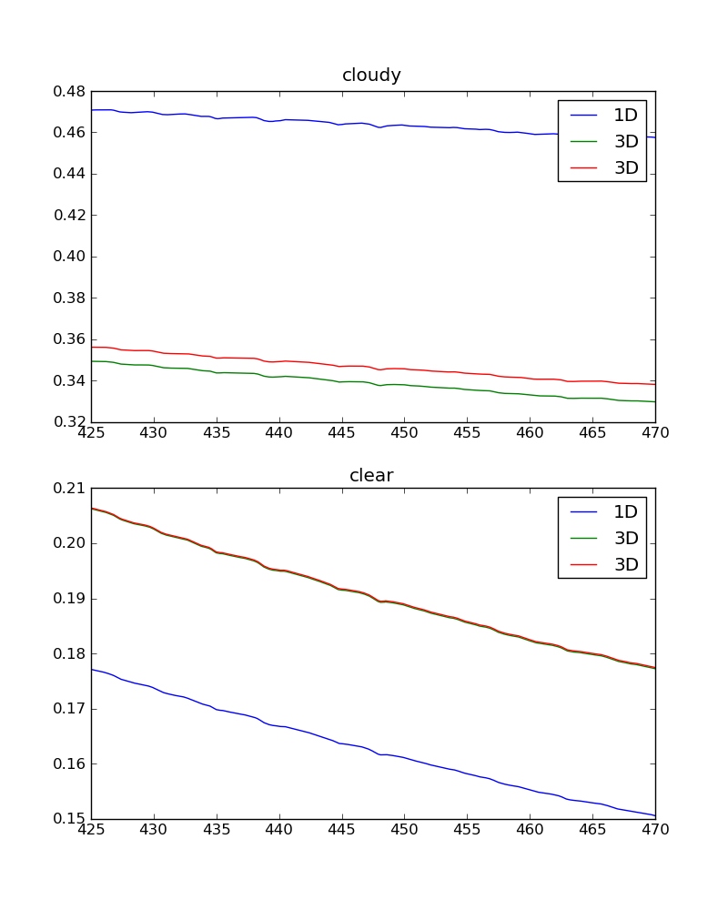
studies:resinc:scia_no2_cloud_tau10_cubic3d_sza5.png

scia_no2_cloud_tau10_cubic3d_sza5.png

scia_no2_cloud_tau10_cubic3d_sza5.png
Date:
2018/05/07 13:16
Filename:
scia_no2_cloud_tau10_cubic3d_sza5.png
Format:
PNG
Size:
60KB
Width:
800
Height:
1000
References for:
resinc

This list might not be complete due to ACL restrictions and hidden pages.